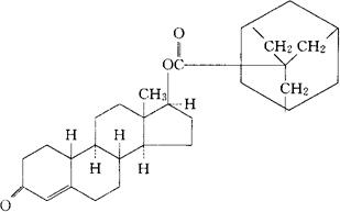
勃金刚酯
C29H40O3=436.63 CAS-1491-81-2 17-[(三环[3.3.1.13.7]癸-1-基羰基)氧]雌甾-4-烯-3-酮。 17-[(Tricyclo[3.3.1.13.7]dec-1-ylcarbonyl)oxy]estr-4-en-3-one. 17β-羟基雌甾-4-烯-3-酮1-金刚烷羧酸酯。 17β-Hydroxyestr-4-en-3-one 1-adamantanecarboxylate. 雄激素,同化激素类药。 Bolmantalate. INN,BAN,USAN.  |