网站首页  词典首页

请输入您要查询的字词:

 

字词 化学振荡反应
类别 中英文字词句释义及详细解析
释义 化学振荡反应

在某些化学反应中,一些反应参数(如物质的浓度,反应热效应等)随时间呈现周期性的变化,这种反应称为化学振荡反应。

研究化学振荡反应,不仅可以深化化学动力学的研究,还可为非平衡态热力学及耗散结构理论提供实验依据,而且还有助于探索复杂的生物振荡现象,如生物钟,新陈代谢,呼吸等,同时在实际应用,如表面张力的测定,模拟生物体内复杂的代谢循环反应及某些疾病的临床检测等方面均具有重要意义。

1873年就发现化学振荡现象。

但由于受到当时实验条件的限制,尤其是受经典热力学的束缚,这类现象一直未能引起重视。

直到1959年,苏联别洛索夫(B.P.Belousov)在实验室首次完成第1个均相化学振荡反应实验后,才引起了人们的重视。

60年代,普里戈津(I.Prigogine)等人提出了非平衡态热力学及耗散结构理论,为化学振荡反应的研究提供了热力学依据,从此该领域研究得到迅速发展,已形成了一个新的学科,每年都有上百篇有关这方面的论文发表。中国的研究工作起步较晚,1978年,胡家骅总的“化学振荡”一文为中国的首例报导,目前,国内对化学振荡反应的研究也正在蓬勃展开。

化学振荡反应的研究,主要分为两大部分,一是化学振荡器的设计及振荡现象的描述;二是化学振荡反应机理的研究。

要研究并利用化学振荡反应,首先必须要设计出化学振荡器,即可以发生振荡反应的体系。

目前已发现了数百种化学振荡器。化学振荡器有多种分类方法,如按反应器的不同可分为间歇釜振荡器和流动振荡器。

按照氧化剂的不同,可分为以下5类:(1)以溴酸盐为氧化剂的化学振荡器:在这种振荡器中,一些有机物在酸性介质中被溴酸盐氧化时,可产生化学振荡反应,习惯上称为B-Z(Belousov-Zhabotinsky)振荡器。(2)以碘酸盐为氧化剂的化学振荡器:在这种振荡器中,一些有机物在酸性介质中被碘酸盐和过氧化氢氧化时,可产生化学振荡反应,习惯上称为B-R(Briggs-Rauscher)振荡器。

(3)以亚氯酸盐为氧化剂的化学振荡器:在这种振荡器中,一些有机物或无机物在酸性介质中被亚氯酸盐氧化时,可产生振荡反应。(4)以高锰酸盐为氧化剂的化学振荡器:在这种振荡器中,一些有机物或无机物在酸性介质中被高锰酸盐氧化时,可产生振荡反应。(5)其他类型的化学振荡器:近年来陆续发现,一些有机物或无机物在酸性介质中被IO4,O2或Cr2O72-等氧化时,均可产生振荡反应。

B-Z振荡器及B-R振荡器既可以在间歇釜中产生振荡反应,又可以在连续流动搅拌反应器(CSTR)中产生振荡反应,但后面几种类型的振荡器均只能在CSTR中才能发生振荡反应。

在上述振荡器中,目前研究最完整的是B-Z振荡器,已发现了大量振荡体系,它又可以分为:(1)经典B-Z振荡器:在酸性介质中,一些易溴代的有机物(如丙二酸)在一种金属离子(常见的是铈离子,锰离子等)催化下,被溴酸盐氧化时,产生的化学振荡反应;(2)非催化B-Z振荡器:不需金属离子催化,就可发生振荡反应的B-Z振荡器;(3)双催化B-Z振荡器:需二种金属离子同时作用才能产生振荡反应的B-Z振荡器;(4)偶合BZ振荡器:需二种有机物构成混和底物才能发生化学振荡反应的B-Z振荡器。其中一种有机物系易氧化但难溴代,在振荡反应中作还原剂,另一种有机物系易溴代但难氧化,在振荡反应中作溴代剂,它也可以用惰气流(如N2)代替。

化学振荡现象非常复杂,种类繁多,同一个振荡体系,如果采取不同的研究方法,可得不同的振荡现象,一般可以分为以下几种类型:(1)均相化学振荡:当反应体系均匀搅抖,此时所观察到的振荡现象是整体的周期性变化,如溶液颜色的周期性变化,这种现象通常可以用铂电极或离子选择性电极和离子活度计,采用合适的参比电极(如硫酸亚汞电极)测定电势(E)随时间(t)的变化进行观察,由函数记录仪记录的E-t曲线称为振荡波形,根据振荡波形的不同,又可分为简单振荡,连续振荡,双周期振荡,复杂振荡以及混乱振荡等。(2)空间振荡:当反应体系静止放置,并加入某种颜色指示剂(如铁与邻菲罗啉的络离子),所观察到的振荡现象为一系列彩色波纹,称为化学波,在一维空间,化学波以一定速度呈柱状向外扩展,在二维空间,化学波成环状向外扩展,形成各种同心圈状花纹,一定条件下也可形成螺旋状的花纹。

这种振荡现象可通过在各个规定时间间隔内拍摄照片,进行观察与研究。(3)界面振荡:这种振荡器的主要组成是两种互不相溶的液相(如水和硝基苯),在水相中加入表面活性剂(如十六烷基三甲基溴化铵)及其他添加物,在有机相中,加入有机电解质(如苦味酸),当两相接触形成界面后,可发生界面振荡。

这种振荡现象可通过二支插入离界面两侧3mm左右的铂电极(或银-氯化银电极)联接离子活度计测定电势(E)随时间(t)的变化进行观察,用函数记录仪记录E-t曲线可获得界面振荡波形图。

在化学振荡反应机理的研究方面,因化学振荡反应非常复杂,所以研究其反应机理极为困难,至今尚未有完美的反应机理。

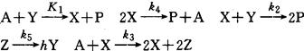
1972年,诺伊斯(R.M.Noyes)等人在总结了一系列丙二酸振荡反应实验的基础上,提出了较为成功的反应机理,称为FKN机理,对上述振荡现象作了较为成功的解释,在此以后,又逐渐提出了其他一些体系的振荡反应机理,但这些机理都相当复杂(至少含11步基元反应步骤),无法进行数值模拟,而且,随著振荡器数目的不断增多,迫切需要一个既简单又普遍适合的数学模型,历史上也提出了多种数学模型,其中,最著名的是俄勒冈(Oregonator)模型,它包括以下5个步骤:

对于B-Z振荡器,,X=HBrO2,P=HOBr,Y=Br。Z为氧化态的金属离子,h为待定因子,引进合适的速率常数,对上述模型作数值模拟,可以得出双稳态及振荡波形。实验及数值模拟证明,该模型不仅适合于绝大多数B-Z振荡器,而且,稍作修改后,也可适合其他类型的振荡器,被公认为化学振荡反应的一般机理。

然而数值模拟结果的正确与否,只能作为验证机理正确与否的必要条件,但不是充分条件,要完整描述反应机理,还需确定各反应中间体及测定基元反应速率常数,俄勒冈模型虽成功地解释了许多振荡现象,但仍存在一定的局限性,新的振荡现象(如化学波,界面振荡,电化学振荡等)又迫切需要产生新的振荡机理,因此,化学振荡反应的机理还需进一步完善和发展,最近又提出了一些新的振荡机理(如Br2-水解控制模型等)。

化学振荡反应研究经历了萌芽期、孕育期两个阶段,目前正处在迅速发展阶段,研究新趋势主要表现在:(1)新的化学振荡器的设计,并逐步用理论方法指导这一工作;(2)化学振荡反应机理的研究,采用电子自旋共振光谱研究振荡反应的中间体(如自由基),解释复杂振荡反应(如连续振荡反应及混沌态等),对原有振荡机理进行修改,提出新的数学模型;(3)探索化学振荡与生物振荡的内在联系,用化学振荡模型解释复杂的生物振荡现象;(4)开拓化学振荡器的应用,已发现用强制振荡可大大提高反应产率和选择性,最近李和兴等把化学振荡器应用于临床检测,取得了令人满意的效果。

【参考文献】:

1 Belousov B P. Shornik Referatov po Radiatsine Medgiz.Moscow, 1958,145

2 Field R J, et al. J Am Chem SocJ Am, Chem Soc, 1972, 94:8649

3 Briggs T S, et al. J. Chem Educ, 1973,50:496

4 Epstein I R, et al. Sci Am , 1983,248,3:112

5 Troy W C. Oscillations and Travelling Waves in Chemical Systems, 1985,146-148

6 Field R J. Oscillations and Travelling Waves in Chemical Systems, 1985,55~93

7 Christopher J D, et al. Newly Designed Permanganate - Reductant Chemical Oscillators, 1991,113(20) :7484

8 李和兴,等.化学学报,1991,49∶451

9 邱志新,等.化学研究和应用,1992,4(1)∶103

(上海师范大学李和兴副教授撰;邱志新审)

上一篇:碳立体化学
下一篇:现代科技综述大辞典上目录
"化学整理化学整理

用各种化学品包括各种化学添加剂和各类化学品对丝织品进行化学性的反应、交联或物理性的粘著、沉积、覆盖、涂层等整理。

其中有利用各种柔软剂的柔软整理。有利用各种硬挺剂的硬挺整理。也有利用抗静电剂的抗静电整理,以及综合性的添加剂整理。还有利用锡化合物的锡增重整理,利用防油、防污、防火剂的整理,利用甲醛及四聚甲醛整理等。

总的是通过化学整理是要改进和发挥丝织品的服用性能。

随便看

 

文网收录3541549条中英文词条,其功能与新华字典、现代汉语词典、牛津高阶英汉词典等各类中英文词典类似,基本涵盖了全部常用中英文字词句的读音、释义及用法,是语言学习和写作的有利工具。

 

Copyright © 2004-2024 Ctoth.com All Rights Reserved
京ICP备2021023879号 更新时间:2025/10/18 15:55:32