网站首页  词典首页

请输入您要查询的字词:

 

字词 鸟嘌呤
类别 中英文字词句释义及详细解析
释义

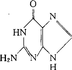
鸟嘌呤guanine,Gua.G.

2-氨基-6-氧嘌呤。化学结构式如右。是DNA和RNA中4种主要碱基之一,也是各种鸟苷酸的组成分。其N9与核糖或脱氧核糖C1以β-糖苷键连接而成鸟苷或脱氧鸟苷。

鸟嘌呤guanine

为2-氨基-6-氧嘌呤,存在于RNA和DNA中。

随便看

 

文网收录3541549条中英文词条,其功能与新华字典、现代汉语词典、牛津高阶英汉词典等各类中英文词典类似,基本涵盖了全部常用中英文字词句的读音、释义及用法,是语言学习和写作的有利工具。

 

Copyright © 2004-2024 Ctoth.com All Rights Reserved
京ICP备2021023879号 更新时间:2026/4/30 20:56:48