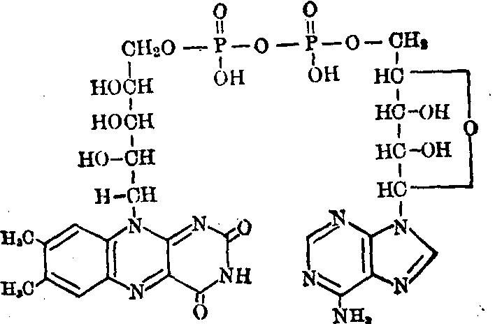
黄素腺嘌呤二核苷酸
黄素腺嘌呤二核苷酸(FAD)与FMN一样是黄素酶的辅基,与酶蛋白以非共价键结合,但结合紧密,唯琥珀酸脱氢酶的FAD是与酶蛋白中组氨酸残基以共价键结合。FAD的结构式如下:

FAD有氧化型及还原型(FADH2)二种,FAD传递氢原子过程以及吸收光谱均与FMN相同 (见 “黄素单核苷酸”条)。
在高等动物中,含FAD的黄素酶有琥珀酸脱氢酶、二氢硫辛酸脱氢酶、脂肪酰辅酶A脱氢酶、线粒体中的3磷酸甘油脱氢酶、D氨基酸氧化酶、黄嘌呤氧化酶、醛氧化酶、二氢乳清酸氧化酶等。
体内FAD是从FMN合成的,其反应由FMN腺苷酸转移酶催化,需要ATP。
FMN+ATP—→FAD+PPi(焦磷酸)