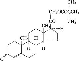
匹伐酸去氧皮质酮
C26H38O4=414.58 CAS-808-48-0 21-(2,2-二甲基-1-氧代丙氧基-孕甾-4-烯-3,20-二酮。 Pregn-4-ene-3,20-dione,21-(2,2-dimethyl-1-oxopropoxy). 11-脱氧皮质酮新戊酸酯。 11-Deoxycorticosterone pivalate. 肾上腺皮质激素类药。 去氧皮质酮匹伐酸酯。 Desoxycorticosterone Pivalate,Percorten Pivalate. BAN(Deoxycortolone Pivalate),USAN,USP.  |