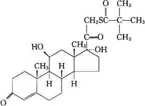
匹伐酸替可的松
C26H38O5S=462.64 CAS-55560-96-8 CAS-61951-99-3(tixocortol) (11β)-21-[2,2-二甲基-1-氧代丙基)硫代]11,17-二羟基-,孕甾-4-烯-3,20-二酮。 Pregn-4-ene-3,20-dione,21-[2,2-dimethyl-1-oxopropyl)thio]11,17-dihydroxy-,(11β)-. 11β,17-二羟基-21-巯基孕甾-4-烯-3,20-二酮21-二甲基醋酸酯。 11β,17-Dihydroxy-21-mercaptopregn-4-ene-3,20-dione 21-pivalate. 肾上腺皮质激素类药,消炎药。 新戊酸替可的松。 Tixocortol Pivalate,Tiovalone,Rectovalone,Pivalone. INN,BAN(Tixocortol),USAN. 
|