匹美劳肽
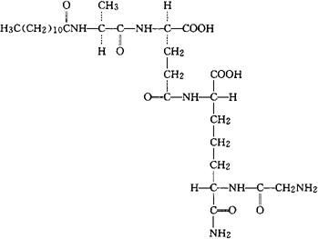
C29H52N6O9=628.77 CAS-78512-63-7 苏-6-氨基甲酰-N2-[N-(N-月桂酰-L-丙氨酰)-D-γ-谷氨酰基]-N6-甘氨酰-DL-赖氨酸。 threo-6-Carbamoyl-N2-[N-(N-lauroyl-L-alanyl)-Dγ-glutamyl]-N6-glycyl-DL-lysine. 甘氨酰-6-羧基-N6-[N-[N-(1-氧代十二烷基)-L-丙氨酰]-D-γ-谷氨酰]-苏-DL-赖氨酰胺。 Glycyl-6-carboxy-N6-[N-[N-(1-oxododecyl)-Lalanyl]-D-γ-glutamyl]-threo-DL-lysinamide. 免疫兴奋药。 必美若得。 Pimelautide,LTP,RP 40639,Lauroyltetrapeptide. INN,USAN. 
|