网站首页  词典首页

请输入您要查询的字词:

 

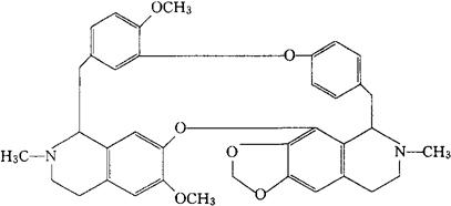
字词 千金藤素[中]
类别 中英文字词句释义及详细解析
释义 千金藤素[中]

C37H38N2O6=606.69

CAS-481-49-2

6′,12′二甲氧-2′,2′-二甲基-6,7-[亚甲基双(氧)]尖刺碱。

6′,12′,-Dimethoxy-2′,2′-dimethyl-6,7-[methylene bis(oxy)]oxyacanthan.

升白细胞药。促进网状内皮系统抗变态反应作用。用于预防和治疗肿瘤病人因放射治疗或化学治疗的白细胞减少症。

头花千金藤碱,西法安生,豆花藤大碱。

Cepharanthine.

千金藤片。

MI.

随便看

 

文网收录3541549条中英文词条,其功能与新华字典、现代汉语词典、牛津高阶英汉词典等各类中英文词典类似,基本涵盖了全部常用中英文字词句的读音、释义及用法,是语言学习和写作的有利工具。

 

Copyright © 2004-2024 Ctoth.com All Rights Reserved
京ICP备2021023879号 更新时间:2025/12/3 20:43:29