网站首页  词典首页

请输入您要查询的字词:

 

字词 半数平均法
类别 中英文字词句释义及详细解析
释义 半数平均法

统计中测定直线趋势的一种简单方法。

它是把动态数列上半部平均数和下半部平均数所确定的两个中点作为标准点,而后通过标准点描绘一条趋势直线。各半平均数中点的确定方法是:

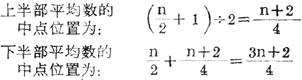
如果动态数列的项数为偶数,可按照确定中位数的方法求得。设n为动态数列的项数,则:

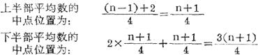
如果动态数列的项数为奇数,可将数列中间一项舍去,再按偶数项求中点的方法,但n应以(n-1)代替。

半数平均法比较简单易行,但只能用于直线趋势。

随便看

 

文网收录3541549条中英文词条,其功能与新华字典、现代汉语词典、牛津高阶英汉词典等各类中英文词典类似,基本涵盖了全部常用中英文字词句的读音、释义及用法,是语言学习和写作的有利工具。

 

Copyright © 2004-2024 Ctoth.com All Rights Reserved
京ICP备2021023879号 更新时间:2025/10/17 16:00:44