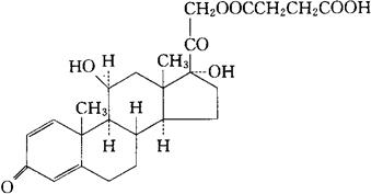
半琥泊酸泼尼松龙
C25H32O8=460.52 CAS-2920-86-7 (11β)-21-(3-羧-1-氧代丙氧)-11,17-二羟-孕甾-1,4-二烯-3,20-二酮。 (11β)-21-(3-Carboxy-1-oxopropoxy)-11,17-dihydroxypregna-1,4-diene-3,20-dione. 11β,17,21-三羟孕甾-1,4-二烯-3,20-二酮21-(氢琥珀酸酯)。 11β,17,21-Trihydroxypregna-1,4-diene-3,20-dione 21-(hydrogensuccinate). 肾上腺皮质激素类药。 半琥珀酸氢化泼尼松。 Prednisolone Hemisuccinate. USAN,USP.  |