协积回归德宾-森沃检验
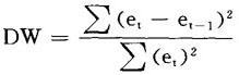
残差et非平稳的假设检验可用两种方法进行。 第一种是对回归残差序列进行Dickey-fuller检验。另一种,我们可用协整回归的Durbin-Watson统计量进行。 回忆Durbin-Watson统计量公式:  如果et是随机游走,则(et-et-1)的数学期望为0,所以Durbin-Watson统计量应接近于0。 这样,只要检验DW=0的假设。下表给出了观察个数为100,该检验的临界值。例如,如果在运行了协整回归后,我们得到一个DW的数值为0.71,则将在1%显著性水平上拒绝不可协整的假设。 检验DW=0的临界值 
|