单值和移动极差控制图(X—R5图)
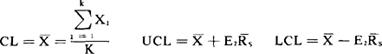
这是把单值控制图和移动极差控制图联用的一种形式。 一般把单值控制图放在移动极差控制图的上方。这两种图的作用与 -R图的作用大致相同。 主要用于数据不便分组,或加工时间长,测量费用高,以及质量均一,只需取一个样品等场合。 单值控制图的中心线和控制界限的计算公式如下:  式中:CL表示中心线,UCL表示控制上限;LCL表示控制下限; 表示K个数据的平均值; 表示移动极差的平均值;E2表示由子样大小n确定的系数,可由控制图用系数表查得。 移动极差Rs为相邻两个数据之差的绝对值,即: 移动极差控制图的中心线、控制界限的计算公式如下:  式中:D3、D4可由控制图用系数表查得。 |