压区宽度的计算
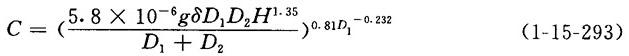
【说明】 压区宽度取决于外加压力、辊面材质的机械特性(硬度、纵向弹性模数、泊松系数等)、辊径和辊间物质的压缩变形特性(主要指毛毯),它又决定了在外加压力下的压区平均压力P,而P正是决定湿压榨脱水效率的主要因素。压区宽度有下列几种计算方法。 1.一般计算法 【公式】  式中 C——压区宽度(m) q——辊间线压(N/m) D1、D2——相应地为两个压辊直径(m) E1、E2——辊体或辊面层(包胶层)的纵向弹性模数(Pa) μ1、μ2——辊体或辊面层的泊松系数,对于胶层可取μ 0. 2.当一个辊筒有包胶层时压区宽度计算 【公式】  式中符号含义及单位同前 3.李达尔(L·Rydar)的用计算机计算压区宽度公式 【公式】  式中 C——压区宽度(in) q——辊所受的负荷(Ib/in),即外加线压力 δ——胶层工作厚度(in) D1——包胶压辊的直径(in) D2——与包胶辊相接的硬辊直径(in) H——胶层硬度,以1/8in直径的球测出的普氏硬度(P&J) 【附表】 压榨辊的特征及压区宽度等参数见表1-15-26 表1-15-26 压榨辊的特征和压区宽度(线压300Ib/in)  注: ❶ 1Ib/in=175.187N/m❷ 1Ib/in2=6897.11Pa |