网站首页  词典首页

请输入您要查询的字词:

 

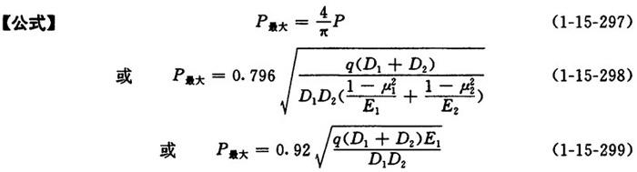
字词 压区最大压力的计算
类别 中英文字词句释义及详细解析
释义 压区最大压力的计算

【说明】 在变形面积宽度中央部分的最大比压可作如下计算。

式中 P最大——最大压力(Pa)

其它符号含义及单位同上

【注意】 式1-15-299适用于当一个辊筒有包胶层时的最大压区压力计算。

随便看

 

文网收录3541549条中英文词条,其功能与新华字典、现代汉语词典、牛津高阶英汉词典等各类中英文词典类似,基本涵盖了全部常用中英文字词句的读音、释义及用法,是语言学习和写作的有利工具。

 

Copyright © 2004-2024 Ctoth.com All Rights Reserved
京ICP备2021023879号 更新时间:2025/10/18 20:17:34