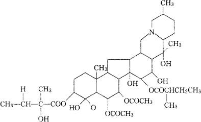
原藜芦碱 A
C41H63NO14=793.92 CAS-143-57-7 4α,9-环氧瑟瓦烷-3β-4,6α,7α 14,15α,16β,20-辛醇6,7-二醋酸酯3(S)-(2-羟-2-甲基丁酸酯)15(R)-(2-甲基丁酸酯)。 4α,9-Epoxycevane-3β-4,6α,7α 14,15α,16β,20-octol 6,7-diacetate 3-(S)-(2-hydroxy-2-methylbutanoate)15(R)-(2-methylbutanoate). 抗高血压药,催吐药。 Protoveratrine A Veralba,Pro-Amid,Salzberger,Protalba. USAN,MI.  |