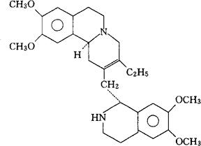
去氢依米丁
C29H38N2O4=478.63 CAS-4914-30-1 3-乙基-9,10-二甲氧-1,6,7,11b-四氢-2-[(1,2,3,4-四氢-6,7-二甲氧-1-异喹啉基)甲基]-4H-苯并[a]喹嗪。 3-Ethyl-9,10-dimethoxy-1,6,7,11b-tetrahydro-2-[(1,2,3,4-tetrahydro-6,7-dimethoxy-1-isoquinolyl)methyl]-4H-benzo[a]quinolizine. 抗阿米巴药。 Dehydroemetine,Ro 1-9334/19. INN,BAN,DCF,USAN,MI.  |