网站首页  词典首页

请输入您要查询的字词:

 

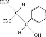
字词 去甲麻黄素
类别 中英文字词句释义及详细解析
释义 去甲麻黄素

C9H13NO=151.21

CAS-492-39-7

(+)-去甲伪麻黄碱。

(+)-Norpseudoephedrine.

中枢兴奋药,食欲抑制药。

右去甲伪麻黄碱,苯羟丙胺,去甲麻黄碱。

Cathine,D-Norpseudoephedine,Pseudonorephedrin

Norisoephedrin.

INN,USAN.

随便看

 

文网收录3541549条中英文词条,其功能与新华字典、现代汉语词典、牛津高阶英汉词典等各类中英文词典类似,基本涵盖了全部常用中英文字词句的读音、释义及用法,是语言学习和写作的有利工具。

 

Copyright © 2004-2024 Ctoth.com All Rights Reserved
京ICP备2021023879号 更新时间:2025/10/19 11:32:42