网站首页  词典首页

请输入您要查询的字词:

 

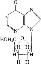
字词 去羟肌苷
类别 中英文字词句释义及详细解析
释义 去羟肌苷

C10H12N4O3=236.23

CAS-69655-05-6

2′,3′,-二去氧肌苷。

2′,3′,-Dideoxyinosine.

抗病毒药。

Didanosine,Videx,BMY-40900.

USAN.

随便看

 

文网收录3541549条中英文词条,其功能与新华字典、现代汉语词典、牛津高阶英汉词典等各类中英文词典类似,基本涵盖了全部常用中英文字词句的读音、释义及用法,是语言学习和写作的有利工具。

 

Copyright © 2004-2024 Ctoth.com All Rights Reserved
京ICP备2021023879号 更新时间:2026/1/17 16:29:15