双氯青霉素钠[典]
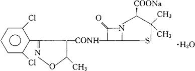
C19H16Cl2N3NaO5S·H2O=510.32 CAS-13412-64-1 CAS-343-55-5(anhydrate) 6-[3-(2,6-二氯苯基)-5-甲基-4-异噁唑甲酰胺基]青霉烷酸钠-水化合物。 6-[3-(2,6-Dichlorophenyl)-5-methyl-4-isoxazolcarboxamido]penicillanate sodium monohydrate. 抗生素类药。用于心内膜炎、败血症、骨髓炎、脑膜炎等。 双氯苯唑青霉素钠,双氯苯甲异噁唑青霉素钠,双氯西林钠。 Dicloxacilline Sodium,Dicloxin. 双氯青霉素钠片。 JAN,JP,USAN,USP,MI. 
|