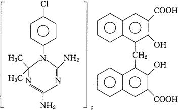
双羟萘酸环氯胍
(C11H14ClN5)2·C23H16O6=891.81 CAS-609-78-9 CAS-516-21-2(cycloguanil) 4,4′-亚甲基双(3-羟基-2-萘羧酸)与1-(4-氯苯基)-1,6-二氢-6,6-二甲基-1,3,5-三嗪-2,4-二胺(1∶2)。 4,4′-Methylenebis(3-hydroxy-compd.with 1-(4-chlorophenyl)-1,6-dihydro-6,6-dimethyl-1,3,5-triazine-2,4-diamine(1∶2). 4,6-二氨基-1-(对-氯苯基)-1,2-二氢-2,2-二甲基-均-三嗪与4,4′-亚甲基双(3-羟-2-萘甲酸)。 4,6-Diamino-1-(p-chlorophenyl)-1,2-dihydro-2,2-dimethyl-s-triazine compound(2∶1)with 4,4′-methylenebis(3-hydroxy-2-naphthoic acid). 抗疟药。 思波酸环氯胍。 Cycloguanil Pamoate,CI-501,CN-14,329-23A,PAM-MR-807-23a,NSC-77830,Cycloguanil Embonate,Triazine Pamoate,Camolar. INN & BAN(Cycloguanil Embonate),USAN.  |