网站首页  词典首页

请输入您要查询的字词:

 

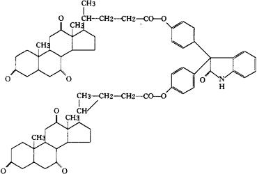
字词 双胆酚丁
类别 中英文字词句释义及详细解析
释义 双胆酚丁

C68H79NO11=1086.37

CAS-54063-34-2

3,3-双(对-羟苯基)-2-二氢吲哚酮3,7,12-三氧代-5β-胆甾烷-24-酸二酯。

3,3-bis(p-Hydroxyphenyl)-2-indolinone 3,7,12-trioxo-5β-cholan-24-oic acid diester.

泻药。

Cofisatin,Cofistine.

INN,DCF(Cofisafine),USAN.

随便看

 

文网收录3541549条中英文词条,其功能与新华字典、现代汉语词典、牛津高阶英汉词典等各类中英文词典类似,基本涵盖了全部常用中英文字词句的读音、释义及用法,是语言学习和写作的有利工具。

 

Copyright © 2004-2024 Ctoth.com All Rights Reserved
京ICP备2021023879号 更新时间:2025/10/18 18:51:20