网站首页  词典首页

请输入您要查询的字词:

 

字词 史密斯的货币供应方程式
类别 中英文字词句释义及详细解析
释义 史密斯的货币供应方程式

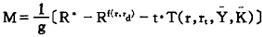
由美国经济学家W·L·史密斯提出的一种货币供应理论模型。他运用这一方程从货币与其他资产的替代性角度对R·L·泰根的货币供应方程式进行了深化。因此,二者之间的理论结构十分相似。但是,史密斯的模型中加入了泰根模型中所没有的财富因素(K)。史密斯的货币供应方程式可以表示为:

式中,M为货币供给量;R*为准备金总额;为商业银行的自由准备金;t·T(r,rt,Y,K)为定期存款准备金;g为活期存款的法定准备率;r为市场利率;rd为再贴现率;rt为定期存款利率;Y为国民收入;K为财富量。该方程式表明,货币供给量取决于四个因素:总准备金(R*)、法定准备率(g)、自由准备金和定期存款准备金。其中,(R*)和(g)可以由中央银行控制;自由准备金受市场利率和再贴现率的影响;定期存款准备金则取决于市场利率、定期存款利率、国民收入和财富量。从短期看,可以假定国民收入和财富量不会发生变化,故用(Y)和(K)表示。市场利率在很大程度上影响著商业银行愿意保留的自由准备金及社会公众愿意持有的定期存款,而定期存款利率和再贴现率也会随著市场利率的变化而改变。可见,市场利率的变化在货币供给量的变动中具有重要意义,它综合反映了金融资产供求状况的变动。史密斯模型也说明了货币以外的金融资产,即非货币金融资产的供求变动在货币供给量的决定中具有重要的地位。

随便看

 

文网收录3541549条中英文词条,其功能与新华字典、现代汉语词典、牛津高阶英汉词典等各类中英文词典类似,基本涵盖了全部常用中英文字词句的读音、释义及用法,是语言学习和写作的有利工具。

 

Copyright © 2004-2024 Ctoth.com All Rights Reserved
京ICP备2021023879号 更新时间:2025/10/18 12:03:00