网站首页  词典首页

请输入您要查询的字词:

 

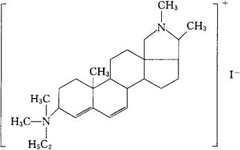
字词 司库碘铵
类别 中英文字词句释义及详细解析
释义 司库碘铵

C26H43IN2=510.54

CAS-30033-10-4

(康纳-4,6-二烯-3β-基)二甲基乙基铵碘化物。

(Cona-4,6-dienin-3β-yl)dimethylethylammonium iodide.

N-乙基-N,N-二甲基康纳-4,6-二烯-3铵碘化物。

N-Ethyl-N,N-dimethylcona-4,6-dien-3-aminium iodide.

神经肌肉阻断药。

Stercuronium Iodide,MYC 1080.

INN,USAN.

随便看

 

文网收录3541549条中英文词条,其功能与新华字典、现代汉语词典、牛津高阶英汉词典等各类中英文词典类似,基本涵盖了全部常用中英文字词句的读音、释义及用法,是语言学习和写作的有利工具。

 

Copyright © 2004-2024 Ctoth.com All Rights Reserved
京ICP备2021023879号 更新时间:2025/10/16 21:09:26