向心加速度
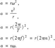
1.定义:由向心力产生的加速度. 2.向心加速度a与向心力F的关系遵从牛顿第二定律F=ma. 3.方向:总是沿半径指向圆心,始终与线速度方向垂直. 4.大小(由向心力公式和牛顿第二定律求得):  5.意义:描述由于运动方向改变而引起的速度变化的快慢. 6.匀速圆周运动是加速度变化的变加速曲线运动(非匀变速曲线运动),因为对某一确定的匀速圆周运动来说,m、r、v、ω、T的大小都是不变的,所以向心力和向心加速度的大小不变,但方向却时刻改变. 7.对于变速率圆周运动,可以用公式求质点在圆周上某点的向心加速度瞬时值,其中v或ω应取该点的线速度和角速度的瞬时值. |