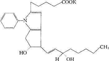
吡前列素钾
C26H34KNO4=463.66 CAS-88851-62-1 [4R-[4α(1E,3S*),5β]]-1,4,5,6-四氢-5-羟-4-(3-羟-1-辛烯基)-1-苯基环戊二烯并[b]吡咯-2-戊酸,单钾盐。 [4R-[4α(1E,3S*),5β]]-1,4,5,6-Tetrahydro-5-hydroxy-4-(3-hydroxy-1-octenyl)-1-phenylcyclopenta[b]pyrrole-2-pentanoic acid,monopotassium salt. (4R,5R)-1,4,5,6-四氢-5-羟-4-[(E)-(3S)-3-羟-1-辛烯基]-1-苯基环戊二烯并[b]吡咯-2-戊酸钾。 Potassium(4R,5R)-1,4,5,6-tetrahydro-5-hydroxy4-[(E)-(3S)-3-hydroxy-1-octenyl]-1-phenylcyclopenta[b]pyrrole-2-valerate. 前列腺素类药,平喘药。 Piriprost Potassium,U-60,257B. USAN.  |