吸水箱后纸料量的计算
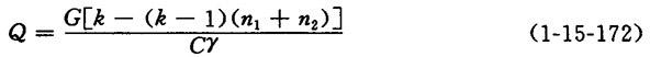
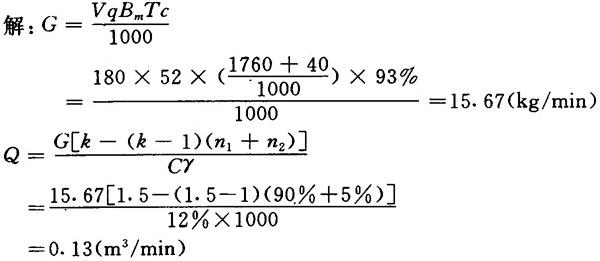
【公式】  式中 Q——吸水箱后纸料量(m3/min) G——纸机理论产纸量(kg/min) K——漏浆系数 n1——案辊部分漏浆量占总漏浆量的百分率(%),对于一般纸张n1值为90%左右 n2——真空吸水箱漏浆量的百分率(%),对于一般纸浆的n2值为5%左右 C——真空吸水箱后湿纸页干度(%) 【例】 某厂1760纸机生产52g/m2凸版纸,车速180m/min,成纸干度为93%,漏浆系数为1.5,n1=90%,n2=5%,吸水箱后纸页干度为12%,求真空吸水箱后纸料量。(纸料密度取1000kg/m3)  |