呋苄西林钠[中]
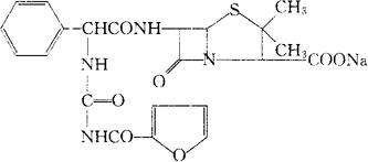
C22H21N4NaO7S=508.39 6-D-[α-[3-呋喃甲酰脲基]苯乙酰胺基]青霉烷酸钠。 6-D-[α-[3-Furoylureido]phenylacetamido]penicillinate sodium. 6-[α-(3-呋喃甲酰脲基)苯乙酰胺基]-3,3-二甲基-7-氧代-4-硫杂-1-氮杂双环[3.2.0]庚烷-2-羧酸钠盐。 6-[α-(3-Furoylureido)phenylacetamido]-3,3-dimethyl-7-oxo-4-thia-1-azabicyclo[3.2.0]heptane2-carboxylic acid,sodium salt. 抗生素类药。用于绿脓杆菌、大肠杆菌和变形杆菌的感染。 呋脲苄青霉素钠。 Furbenicillin Sodium. 注射用呋脲苄青霉素钠。 
|