网站首页  词典首页

请输入您要查询的字词:

 

字词 呋霜灵
类别 中英文字词句释义及详细解析
释义 呋霜灵

杂环类杀菌剂。

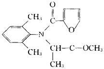
化学名称:N-(2,6-二甲基苯基)-N-(2-呋喃基羰基)-外消旋氨基丙酸甲酯。化学结构式如下。原药为双晶形结晶,熔点70~84℃,易溶于多种有机溶剂,在水中为230mg/L。

属内吸性杀菌剂,专用于由卵菌引起的植物病害,以叶面喷洒,土壤灌溉防治蔬菜、观赏植物的绵腐病、疫病等,对人畜低毒,大鼠急性口服LD50为940mg/kg、急性经皮LD50>3100mg/kg。

随便看

 

文网收录3541549条中英文词条,其功能与新华字典、现代汉语词典、牛津高阶英汉词典等各类中英文词典类似,基本涵盖了全部常用中英文字词句的读音、释义及用法,是语言学习和写作的有利工具。

 

Copyright © 2004-2024 Ctoth.com All Rights Reserved
京ICP备2021023879号 更新时间:2025/10/16 22:05:57