网站首页  词典首页

请输入您要查询的字词:

 

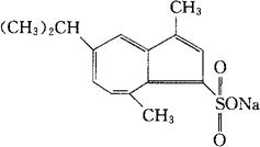
字词 呱仑酸钠
类别 中英文字词句释义及详细解析
释义 呱仑酸钠

C15H17NaO3S=300.35

CAS-6223-35-4

CAS-16915-32-5(gualenic acid)

5-异丙基-3,8-二甲基-1-薁磺酸钠。

Sodium 5-isopropyl-3,8-dimethyl-1-azulene sulfonate.

消炎药。

Sodium Gualenate.

INN,USAN.

随便看

 

文网收录3541549条中英文词条,其功能与新华字典、现代汉语词典、牛津高阶英汉词典等各类中英文词典类似,基本涵盖了全部常用中英文字词句的读音、释义及用法,是语言学习和写作的有利工具。

 

Copyright © 2004-2024 Ctoth.com All Rights Reserved
京ICP备2021023879号 更新时间:2025/10/19 10:23:47