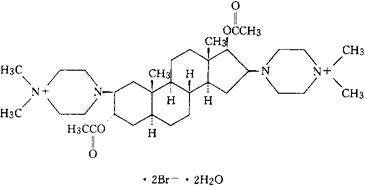
哌库溴铵
C35H62Br2N4O4·2H2O=798.74 CAS-68399-57-5 CAS-52212-02-9(anhydrous) 4,4′-[(2β,3α,5α,16β,17β)-3,17-双(乙酰氧)雄甾烷-2,16-二基]双[1,1-二甲基哌嗪鎓]二溴化物,二水化物。 4,4′-[(2β,3α,5α,16β,17β)-3,17-bis(Acetyloxy)androstane-2,16-diyl]bis[1,1-dimethylpiperazinium]dibromide,dihydrate. 4,4′(3α,17β-二羟-5α-雄甾烷-2β,-16β-亚基)双[1,1-二甲基哌嗪鎓]二溴化物,二醋酸(酯),二水化物。 4,4′-[(3α,17β-Dihydroxy-5α-androstan-2β,16β-ylene)bis[1,1-dimethylpiperazinium]dibromide,diacetate(ester),dihydrate. 神经肌内阻断药,肌肉松弛药。 哌可松。 Pipecuronium Bronide,RGH 1106. INN,BAN,USAN. 
|