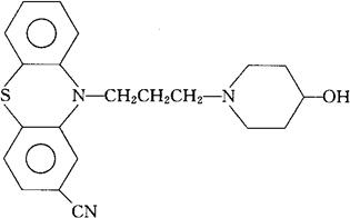
哌氰嗪
C21H23N3OS=365.19 CAS-2622-26-6 2-氰基-10-[3-(4-羟哌啶基)丙基]吩噻嗪。 2-Cyano-10-[3-(4-hydroxypiperidino)propyl]phenothiazine. 10-[3-(4-羟哌啶基)丙基]吩噻嗪-2-腈。 10-[3-(4-Hydroxypiperidino)propyl]phenothiazine2-carbonitrile. 抗精神病药。 Periciazine,RP 8909,SKF 20716,Propericiazine,Aolept,Pericyagine,Neulactil,Neuleptil. INN,BAN,DCF,DCIT,JAN,NFN,USAN. 
|