网站首页  词典首页

请输入您要查询的字词:

 

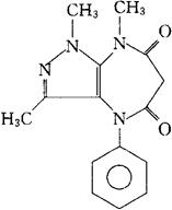
字词 唑美巴占
类别 中英文字词句释义及详细解析
释义 唑美巴占

C15H16N4O2=284.32

CAS-78466-70-3

4,8-二氢-1,3,8-三甲基-4-苯基吡唑并[3,4-b][1,4]-二氮杂-5,7(1H,6H)二酮。

4,8-Dihydro-1,3,8-trimethyl-4-phenylpyrazolo[3,4-b][1,4]diazepine-5,7(1H,6H)dione.

安定药,抗焦虑药。

Zomebazam.

INN,USAN.

随便看

 

文网收录3541549条中英文词条,其功能与新华字典、现代汉语词典、牛津高阶英汉词典等各类中英文词典类似,基本涵盖了全部常用中英文字词句的读音、释义及用法,是语言学习和写作的有利工具。

 

Copyright © 2004-2024 Ctoth.com All Rights Reserved
京ICP备2021023879号 更新时间:2025/10/17 17:58:16