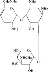
喷替米星
C19H37N5O7=447.53 CAS-55870-64-9 O-3-去氧-4-C-甲基-3-(甲氨基)-β-L-阿拉伯吡喃糖基-(1→1)-O-[2,6-二氨基-2,3,4,6-四去氧-α-D-甘油基-己-4-烯吡喃糖基-(1→1)]-4,6-二氨基-4,5,6-三去氧-D-肌醇。 O-3-Deoxy-4-C-methyl-3-(methylamino)-β-L-arabinopyranosyl-(1→1)-O-[2,6-diamino-2,3,4,6-tetradeoxy-α-D-glycerohex-4-enopyranosyl-(1→1)]-4,6-diamino-4,5,6-trideoxy-D-myoinositol. 抗感染药。 潘替米星。 Pentisomicin,Mutamicin 6,5-Episisomicin,Sch 22591,Antibiotic Sch 22591. INN,USAN. 
|