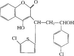
噻氯香豆素
C22H16Cl2O4S=447.33 CAS-22619-35-8 3-[3-(4-氯苯基)-1-(5-氯-2-噻吩基)-3-羟丙基]-4-羟-2H-1-苯并吡喃-2-酮。 3-[3-(4-Chlorophenyl)-1-(5-chloro-2-thienyl)-3-hydroxypropyl]-4-hydroxy-2H-1-benzopyran-2-one. 3-[5-氯-α-(对-氯-β-羟苯乙基)2-噻吩甲基]-4-羟香豆素。 3-[5-Chloro-α-(p-chloro-β-hydroxyphenethyl)-2-thenyl]-4-hydroxycoumarin. 抗凝药。 Tioclomarol,Apegmone,LM 550. INN,DCF,USAN,MI. 
|