回归方程
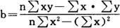
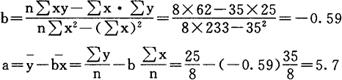
【释文】: 也叫直线回归方程。 它是回归分析的数学模型和手段。如果两变量间确实存在直线相关关系,而当我们将自变量x与因变量y的各个数据在直角坐标系中用相应的点表示出来时,便会形成一个趋势明显的狭长的带状分布图。用一合适的直线来近似地表示这一带状线型分布,则这条直线便叫回归直线,它表示自变量与因变量之间特定的数量关系。而具体描述说明自变量与因变量之间特定数量关系的数学模型就叫回归方程或直线回归方程,通常被写作:y=a+bx。式中x为自变量,y为因变量,a和b为特定系数。其中a表示回归直线在y轴上的截距,b为回归直线的斜率,也叫回归系数。 一旦a和b确定了,则回归直线也就确立了。在这里a和b可由标准方程组:  求得。 解上述方程组可得:   例如某村女青年受教育年限与理想子女数相关表如下:   依据上表可得:  将a=5.7,b=一0.59代入y=a+bx可得y=5.7-0.59x由此女青年受教育年限与理想子女数的回归方程便被确立了。 这样我们就可以赁借著这一回归方程来分析预测。 |