回归系数
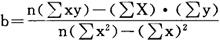
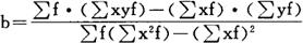
【释文】: 是指回归方程式中自变量的倍数,它是平衡因变量幅度的一个统计参数。 如:在一元直线回归方程式y=a+bx中,b作为自变量x的倍数就是回归系数。其意是指因变量y对自变量x的平均变动比率,即当x变动一个单位时,y平均变动b个单位。 回归系数b是可以计算的,其计算公式根据资料的分组情况而有所不同。 对于未分组的原始资料计算回归系数其公式为:  式中,x代表自变量的各个观测值,y代表因变量的各个观测值,n为观测值的个数,即统计样本的个案数,∑代表连加符号,即总和。 对于已分组的次数资料计算回归系数其公式为:  式中,f代表各组变量值的Ψ次数,即权数或频数,其它符号与上式同。 |