网站首页  词典首页

请输入您要查询的字词:

 

字词 回归预测统计检验
类别 中英文字词句释义及详细解析
释义 回归预测统计检验

以根据样本数据建立的回归模型推断总体时,判断它与某一指定的总体参数所作的假设是否相容或一致,检验它的统计意义能否成立、能否可信地用以进行预测。

一元线性回归的统计检验方法,主要是对抽样的总体,作出某些特征的零假设H0及其对立的备择假设H1,并按符合于这些统计特征的概率分布密度,选取一定的显著性水平,确立假设成立的临界值,然后以样本实际统计量与总体假设的临界值进行比较,视两者之间的是否存在显著差别,从而作出判断,接受或拒绝所做的假设。统计假设检验,有单尾检验和双尾检验之分。只用随机变量分布曲线的一个尾部面积来检验统计假设,就是“单尾检验”,两个尾部面积都用,就是“双尾检验”。

如果备择假设指明了假设事件的出现方向(如大于或少于某个规定数),就用单尾检验;反之,如备择假设为与某个规定数有差异(即既可以高于也可以低于),就用双尾检验。

在回归预测中,常用的统计检验方法,有F检验和t检验等。

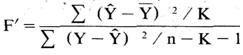
(1)F-检验:检验拟合的一元回归直线与所有的回归系数之间的线性关系是否显著。先作假设H0a=b=0,H1·a与b不同时为0;然后计算检验统计量F′,计算么式为

式中 K为自变量个数,为数据项数。再按给定的显著水平α,查F分布表(第一自由度为K,第二自由度为n-K-1,F分布上的α点)得Fα,K,n-K-1的临界值。比较F′值和F值,如F′>F,则拒绝零假设,可以认为在显著性水平α下,Y与X变量的线性关系是显著的;反之,则接受零假设。

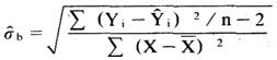
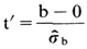
(2)回归系数b的t检验:检验b是否确实不等于零,以确定X对Y是否有显著的线性关系。检验步骤是:先作假设H0∶B=0,H1∶B≠0;其次计算检验统计量t′,这个统计量称为回归系数b的标准误差数,有一个自由度为n-2的t分布,其计算公式为

式中:为剩余误差的标准误差,计算公式为:

再按选择的显著性水平α,查t分布表得tα/2,n-2的临界值;最后比较t′与t,如t′>t,则拒绝零假设;反之,则接受零假设。

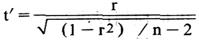
(3)相关系数的t检验:检验X与Y变量之间线性相关关系是否显著。

先作假设H0∶P=0,H1∶P≠0;再按下式计算t′统计量:

式中:r为相关系数,n为数据项数。然后按给定的显著性水平α查 t分布表得tα/2n-2的临界值。

比较t′和t,如t′>t,则否定零假设;反之,则接受零假设。

随便看

 

文网收录3541549条中英文词条,其功能与新华字典、现代汉语词典、牛津高阶英汉词典等各类中英文词典类似,基本涵盖了全部常用中英文字词句的读音、释义及用法,是语言学习和写作的有利工具。

 

Copyright © 2004-2024 Ctoth.com All Rights Reserved
京ICP备2021023879号 更新时间:2026/1/16 15:35:24