网站首页  词典首页

请输入您要查询的字词:

 

字词 固色交联剂DE
类别 中英文字词句释义及详细解析
释义 固色交联剂DE

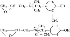
学名双一(2,4二次甲基N,N氯化环氧丙基二甲胺基苯酚)甲烷。

分子中含有多个反应性基团——环氧基,能与丝纤维的羟基反应生成共价链结合,同时,又能与染料分子中的氨基、酰胺基等反应交联。此外,还能自行交联与染料生成难溶的色淀,因此固色效果好。简单的结构式:

固色交联剂DE外观为黄色粘稠液体,呈阳荷性,溶于水,水溶液呈中性。一般浸渍条件:对丝织品重10%,侵轧固色液20~30g/L。

固色条件:60~70℃,中性处理30min,固色后不能剥除。

随便看

 

文网收录3541549条中英文词条,其功能与新华字典、现代汉语词典、牛津高阶英汉词典等各类中英文词典类似,基本涵盖了全部常用中英文字词句的读音、释义及用法,是语言学习和写作的有利工具。

 

Copyright © 2004-2024 Ctoth.com All Rights Reserved
京ICP备2021023879号 更新时间:2025/10/17 12:23:05