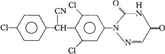
地克珠利
C17H9Cl3N4O2=407.64 CAS-101831-37-2 2,6-二氯-α-(4-氯苯基)-4-(4,5-二氢-3,5-二氧代-1,2,4-三嗪-2(3H)-基)苯乙腈。 Benzeneacetonitrile,2,6-dichloro-α-(4-chlorophenyl)-4-(4,5-dihydro-3,5-dioxo-1,2,4-triazin-2(3H)-yl)-. (对-氯苯基)[2,6-二氯-4-(4,5-二氢-3,5-二氧代-不均-三嗪-2(3H)-基)苯基]乙腈。 (p-Chorophenyl)[2,6-dichloro-4-(4,5-α-dihydro-3,5-dioxo-as-triazin-2(3H)-yl)phenyl]acetonitrile. 抗球虫药。 Dichazuril,R64,433. INN,BAN,USAN.  |