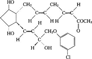
地前列酯
C23H29ClO6=436.93 CAS-62524-99-6 (2E,5Z)-7-[(1R,2R,3R,5S)-2-[(E)-(3R)-4-(间-氯苯氧)-3-羟-1-丁烯基]-3,5-二羟环戊基]-2,5-庚二烯酸甲酯。 Methyl(2E,5Z)-7-[(1R,2R,3R,5S)-2-[(E)-(3R)-4-(m-chlorophenoxy)-3-hydroxy-1-butenyl]-3,5-dihydroxycyclopentyl]-2,5-heptadienoate. 前列腺素类药。 Delprostenate. INN,BAN,USAN.  |