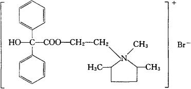
地吡溴铵
C23H30BrNO3=448.40 CAS-51047-24-6 溴化1-(2-羟乙基)-1,2,5-三甲基吡咯烷鎓二苯乙醇酸酯。 1-(2-Hydroxyethyl)-1,2,5-trimethylpyrrolidinium bromide benilate. 溴化1-(2-[羟二苯乙酰]氧]乙基]-1,2,5-三甲基吡咯烷鎓。 1-[2-[Hydroxydiphenylacetyl)oxy]ethyl]-1,2,5-trimethylpyrrolidinum bromide. 解痉药,抗肿瘤药,抗胆碱药。 的美鲁溴铵。 Dimetipirium Bromide. INN,USAN. 
|