网站首页  词典首页

请输入您要查询的字词:

 

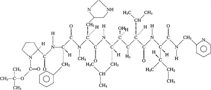
字词 地替凯伦
类别 中英文字词句释义及详细解析
释义 地替凯伦

C50H75N9O8=930.20

CAS-103336-05-6

[1S-[1R*,2R*,4R*(1R*,2R*)]]-1-[(1,1-二甲基乙氧)羰基]-L-脯氨酰-L-苯丙氨酰-N-[2-羟-5-甲基-1-(2-甲基丙酸)-4-[[[2-甲基-1-[[(2-吡啶甲基)氨基]羰基]丁基]氨酸]羰基]己基]-N2-甲基-L-组氨酰胺。

[1S-[1R*,2R*,4R*(1R*,2R*)]]-[1-[(1,1-Dimethylethoxy)carbonyl]-L-prolyl-L-phenylalanyl-N[2-hydroxy-5-methyl-1-(2-methylpropyl)-4-[[[2-methyl-1-[[(2-pyridinylmethyl)amino]-carbonyl]butyl]amino]carbonyl]hexyl]-N2-methyl-L-histidinamide.

叔丁基(2S)-2-[[(aS)-α-[[(1S)-1-[[(1S,2S,4S)-2-羟-1-异丁基-5-甲基-4-[[(1S,2S)-2-甲基-1-[(2-吡啶甲基)氨甲酰]丁基]氨甲酰]己基]氨甲酰]-2-咪唑-4-基乙基]甲基氨甲酰]苯乙基]氨甲酰]-1-吡咯烷羧酸酯。

tert-Butyl(2S)-2-[[(aS)-α-[[(1S)-1-[[(1S,2S,4S)-2-hydroxy-1-isobutyl-5-methyl-4-[[(1S,2S)-2-methyl-1-[(2-pyridylmethyl)carbamoyl]butyl]carbamoyl]hexyl]carbamoyl]-2-imidazol-4-ylethyl]methylcarbamoyl]phenethyl]carbamoyl]-1-pyrrolidinecarboxylate.

抗高血压药(高血压蛋白原酶抑制剂)。

Ditekiren,U-71038.

USAN.

随便看

 

文网收录3541549条中英文词条,其功能与新华字典、现代汉语词典、牛津高阶英汉词典等各类中英文词典类似,基本涵盖了全部常用中英文字词句的读音、释义及用法,是语言学习和写作的有利工具。

 

Copyright © 2004-2024 Ctoth.com All Rights Reserved
京ICP备2021023879号 更新时间:2025/10/18 23:40:34