地理系统的一元线性回归分析法
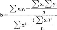
一个因变量只与一个自变量有相关关系,它们之间关系的形态表现为具有直线趋势。 其数学表达式为:y=a+bx。 在分析时,首先可根据所掌握的原始资料数据作出散点图,以判断变量间的关系是否呈线性,若呈直线型,则再配合回归直线表达变量间的平均变化关系。 回归直线的配合关键是求得参数a和b。由最小二乘法原理求得   式中, , ,n为样本个数(i=1,2,…,n) 具有上述参数的线性函数, 就称为一元线性回归方程。 回归分析是数理统计中一个非常重要的分支。近年来被广泛地应用于地理学研究中,并取得一定成效。 如区域或城市经济系统各要素的预测,人口预测,地区自然要素的变化预测,地理环境各要素在人类活动的干预下的变化预测等。 |