地理系统的多元线性回归分析法
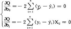
寻求一个变量(因变量)与多个变量(自变量)之间的某种关系式的方法,称为多元回归分析法。 变量间这种关系式若为线性函数,则称为多元线性回归分析。 通过N次观测,得到一组地理数据为 (yα;xα1,xα2,…,xαk),其中α=1,2,…,n。 设某变量y受k个变量x1,x2,…,xk的影响,其内在的联系是线性相关,则其数学表达式为: y=b0+b1x1+b2x2+…+bkxk+ε 式中ε是随机误差,若将第i个样本点代入上式,则有 yi=b0+b1xi1+b2xi2+…+bkxik+εi 式中随机误差εi服从正态分布,且相互独立。 令 其中yi为观测值, 为理论值(回归值)。 由最小二乘法原理,当 时,求得参数b0,b1,…,bk。就是  解上述方程组,便求得b0,b1,…,bk。 虽然上式求解过程比较复杂,但现已对多元线性回归分析编有程序,在计算机上求解仍然是很方便的。 回归方程建立以后,经检验方程是显著的,说明回归方程的建立是有用的,可以用其来作预报或对因变量进行控制。 |