网站首页  词典首页

请输入您要查询的字词:

 

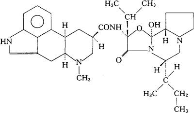
字词 地索隐亭
类别 中英文字词句释义及详细解析
释义 地索隐亭

C32H45N5O4=563.74

CAS-66759-48-6

6′-去氧-9,10α-二氢-β-麦角隐亭。

6′-Deoxo-9,10α-dihydro-β-ergocryptine.

抗心绞痛药。

Desocicptine.

INN,USAN.

随便看

 

文网收录3541549条中英文词条,其功能与新华字典、现代汉语词典、牛津高阶英汉词典等各类中英文词典类似,基本涵盖了全部常用中英文字词句的读音、释义及用法,是语言学习和写作的有利工具。

 

Copyright © 2004-2024 Ctoth.com All Rights Reserved
京ICP备2021023879号 更新时间:2026/4/19 15:40:44