网站首页  词典首页

请输入您要查询的字词:

 

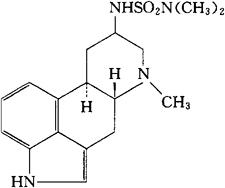
字词 地舒勒近
类别 中英文字词句释义及详细解析
释义 地舒勒近

C17H24N4O2S=348.46

CAS-59032-40-5

N,N-二甲基-N′-(6-甲基麦角灵-8α-基)磺酰胺。

N,N-Dimethyl-N′-(6-methylergolin-8α-yl)sulfamide.

催乳素分泌抑制药。

Disulergine.

INN,USAN.

随便看

 

文网收录3541549条中英文词条,其功能与新华字典、现代汉语词典、牛津高阶英汉词典等各类中英文词典类似,基本涵盖了全部常用中英文字词句的读音、释义及用法,是语言学习和写作的有利工具。

 

Copyright © 2004-2024 Ctoth.com All Rights Reserved
京ICP备2021023879号 更新时间:2026/1/17 14:52:48