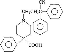
地芬诺辛
C28H28N2O2=424.54 CAS-28782-42-5 1-(3-氰基-3,3-二苯丙基)-4-苯基-4-哌啶羧酸。 4-Piperidinecarboxylic acid,1-(3-cyano-3,3-diphenylpropyl)-4-phenyl-. 1-(3-氰基-3,3-二苯丙基)-4-苯基-3-异哌啶甲酸。 1-(3-Cyano-3,3-diphenylpropyl)-4-phenyl-isonipecotic acid. 止泻药。 地非诺辛。 Difenoxin,McN-JR-15,403-11,R15,403(as Hydrochloride). INN,BAN,USAN.  |