网站首页  词典首页

请输入您要查询的字词:

 

字词 地血香
类别 中英文字词句释义及详细解析
释义 地血香

【名称出处】:《云南思茅中草药选》

【概况】:

异名 大饭团、梅花钻、风藤(《广西中草药》),吹风散、大风沙藤、大钻骨风(《云南思茅中草药选》),过山龙藤、海风藤(广西)。

基源 为木兰科南五味子属植物异型南五味子的根或茎藤。南五味子属全世界约25种,中国约8种。

原植物 异型南五味子Kadsura heteroclita(Roxb.)Craib

形态 木质大藤本,长6~10m。嫩枝褐色,老茎栓皮层松而厚,内皮红色,清香。叶互生,纸质;叶片卵状椭圆形至阔椭圆形,长8~17cm,宽3~8.5cm,先端渐尖,基部钝形或稍急尖,全缘或具疏离的小齿;叶柄长5~25mm。花淡黄色,单生于叶腋;雄花花被11~15片,4~5轮排列,最外面的2~5片,长圆状三角形,长1~7mm,内面的椭圆形至倒卵形,长8~16mm,最内数片稍退化;雄蕊50~60枚,6~10轮排列;雌花花被与雄花相似;雌蕊群由30~55枚心皮组成,4~6轮排列;柱头盾状,膜质。

聚合果近球形,直径2.5~5cm;成熟心皮40~55枚,外果皮肉质。种子长圆形,长5~6mm。

花期5~8月,果期8~12月。(图见《中药大辞典》.上册.第814页.1629条)

生境与分布 生于林谷中。分布于广东、广西、四川、云南。。

【化学】:

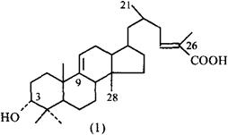
从根中分得一新化合物为异安五酸(3α-羟基-羊毛甾-9(11),24-二烯-26-酸)(1)。

参考文献 高等学校化学学报 1990;11(4):423

【药理】:

地血香二氯甲烷提取物经薄层层析及柱层析分离的成分Ⅲ、Ⅳ有抑制血小板活化因子活性。

参考文献 第3届全国天然有机化学学术会议论文汇编,1987

【药性】:

性味 《云南思茅中草药选》:“微苦、辛,温。”

功效 祛风除湿,行气活血。

主治 风湿痹痛,胃及十二指肠溃疡,急慢性胃肠炎,痛经,产后腹痛,跌打损伤。 ❶ 《广西药用植物名录》:“茎:退热,止渴。治咳嗽,肝肺热。


❷ 《广西中草药》:“活血散瘀,行气止痛,祛风湿。治跌打损伤,风湿骨痛,痛经,产后腹痛,急慢性胃肠炎。


❸ 《广西实用中草药新选》:“祛风,镇痛,舒筋活血。”
❹ 《云南中草药选》:“藤茎:治胃痛,胃及十二指肠溃疡。”

用法用量 内服:煎汤,9~15g;研末或浸酒。外用:捣敷。

。【临床应用】:

方选和验方 ❶ 《广西药植名录》:“治咳嗽、肝肺热:地血香茎9~15g。水煎服。”
❷ 《云南思茅中草药选》:“治痛经:地血香根,歪叶子兰、胡椒适量,泡酒服。”

随便看

 

文网收录3541549条中英文词条,其功能与新华字典、现代汉语词典、牛津高阶英汉词典等各类中英文词典类似,基本涵盖了全部常用中英文字词句的读音、释义及用法,是语言学习和写作的有利工具。

 

Copyright © 2004-2024 Ctoth.com All Rights Reserved
京ICP备2021023879号 更新时间:2026/4/17 11:27:42