埃索昔康[中]
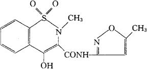
C14H13N3O5S=335.33 CAS-34552-84-6 4-羟-2-甲基-N-(5-甲基-3-异噁唑基)-2H-1,2-苯并 噻嗪-3-甲酰胺1,1-二氧化物。 4-Hydroxy-2-methyl-N-(5-methyl-3-isoxazolyl)-2H-1,2-benzothiazine-3-carboxamide 1,1-dioxide. 消炎镇痛药。 伊索昔康,异噁噻酰胺。 Isoxicam Maxicam,Parke. INN,BAN,DCF,DCIT,USAN,MI.  |