城市间经济作用的强度
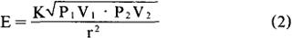
影响城市经济中心作用范围大小的重要因素之一。 主要表现为人口、物资、资金、技术和信息等在城市间的相互流动及其吸引力和排斥力,体现著城市的经济实力。 城市间经济作用的强度与城市的规模及其发达程度成正式,而与城市间的距离成反比,用公式表示如下:  公式中,P为城市人口;V为同年生产财富的价值总量;下标为发生经济联系的不同城市,如1为A城,2为B城; 作为城市规模及其经济发达程度的综合性测度;r表示城市间的距离;E表示A城市与B城市之间的作用强度。 E值越大,其经济作用强度越大;反之,则小。 如果考虑城市间的经济作用在传递和向外扩散过程中的能量损耗,则城市间经济作用的强度可用下式表示:  K表示经济相互作用而发生的能量损耗系数。 |